300 Godzin – Ile To Dni? Sprawdź!

300 godzin to jedna z najczęściej zadawanych pytań w dziedzinie matematyki. Jest to okres wyrażony w godzinach, który należy przeliczyć na dni. Aby to zrobić, należy policzyć, ile jest godzin w ciągu jednego dnia. Zazwyczaj jest to 24 godziny, co oznacza, że 300 godzin to 12,5 dnia. Innymi słowy, 300 godzin to 12 i pół dnia.

300 Godzin Ile To Dni

300 godzin to wystarczająco dużo czasu, aby zorganizować naprawdę wyjątkowe wakacje. Można wykorzystać ten czas na odwiedzanie interesujących miejsc, robienie czegoś nowego lub po prostu odpoczywanie i relaks. 300 godzin to około 12 dni i 12 nocy. Jeśli planujesz dłuższy wyjazd, możesz przesunąć swoje plany, aby wykorzystać ten czas jak najlepiej. Możesz odwiedzać ciekawe miejsca i doświadczać nowych rzeczy, lub po prostu cieszyć się relaksującymi dniami na plaży. 300 godzin to wystarczająco dużo czasu, aby naprawdę cieszyć się wakacjami.

Jak obliczyć ile to dni?

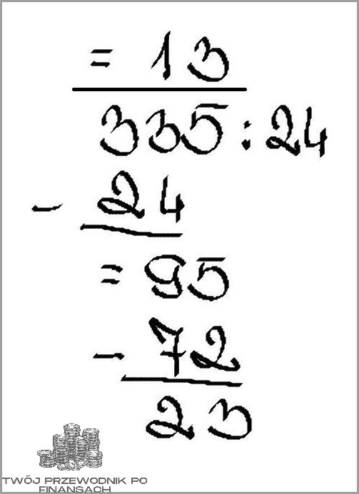
Jeśli chcesz obliczyć, ile to jest dni, musisz wiedzieć, że liczba godzin w jednym dniu wynosi 24 godziny. Z tego powodu 300 godzin to w rzeczywistości 12,5 dnia. Aby to uzyskać, należy podzielić 300 godzin przez 24 godzin. Wynik jest kwotą 12,5, która oznacza, że ​​300 godzin to 12,5 dni.

Aby uzyskać bardziej szczegółowe informacje, możesz wybrać jedną z dwóch metod obliczania. Po pierwsze, możesz zastosować metodę zaokrąglania, aby uzyskać liczbę dni. Po drugie, możesz użyć prostej matematyki, aby obliczyć dokładnie, ile godzin jest w 12,5 dni.

300 Godzin - Ile To Dni? Sprawdź!

Jeśli wybrałeś metodę zaokrąglania, musisz zaokrąglić 12,5 do najbliższej pełnej liczby, która jest 13 dni. Oznacza to, że 300 godzin to 13 dni. Jeśli wybrałeś metodę matematyczną, musisz mnożyć 24 godziny przez 12,5, aby uzyskać liczbę godzin w 12,5 dni. Wynik jest kwotą 300 godzin, która jest taka sama jak to, co próbowałeś obliczyć na początku.

Więcej  Emerytura Bez Podatku - Najnowsze Wiadomości!

Podsumowując, 300 godzin to 12,5 dnia lub 13 dni, w zależności od tego, jaką metodę obliczania wybierzesz.

Gdzie można wykorzystać 300 godzin?

300 godzin to naprawdę sporo czasu, który można wykorzystać na wiele różnych sposobów. Sposobów na wykorzystanie tego czasu jest tak wiele, że trudno je wszystkie wymienić. Czas ten można spożytkować na pracę, naukę, hobby, rozrywkę, działalność społeczną i wiele innych.

Jeśli masz 300 godzin, możesz zacząć od zrobienia czegoś, co od dawna Cię interesowało. Możesz poświęcić ten czas na uczenie się nowych rzeczy, takich jak język obcy, muzyka, programowanie, malarstwo czy jakakolwiek inna aktywność, która Cię interesuje. Możesz także poświęcić czas na udoskonalanie już posiadanych umiejętności.

300 Godzin - Ile To Dni? Sprawdź!

Jeśli jesteś entuzjastą sportu, możesz wykorzystać 300 godzin na ćwiczenia. Możesz też wykorzystać ten czas na wyjazd do miejsca, które Cię interesuje. Wycieczka do innego kraju, gdzie możesz poznać nowych ludzi i zobaczyć nowe miejsca, będzie z pewnością ciekawym i niezapomnianym przeżyciem.

Jeśli lubisz pomagać innym, możesz poświęcić 300 godzin na działalność społeczną. Możesz wykorzystać swój czas na wolontariat w lokalnym schronisku, szpitalu lub innym miejscu, gdzie Twoja pomoc będzie potrzebna.

300 godzin to naprawdę sporo czasu. Możesz go wykorzystać na pracę, naukę, hobby, rozrywkę, działalność społeczną lub wyjazd. To, co zrobisz z tym czasem, jest wyłącznie do Ciebie. Ważne jest, by wykorzystać ten czas jak najlepiej, aby móc cieszyć się z jego owoców.

Jakie są korzyści z posiadania 300 godzin?

Posiadanie 300 godzin to wielkie wyzwanie, ale jednocześnie ogromna szansa. Wiąże się to z wieloma korzyściami, które można osiągnąć dzięki odpowiedniemu planowaniu i wykorzystaniu tego czasu.

300 Godzin - Ile To Dni? Sprawdź!

Pierwszą zaletą posiadania 300 godzin jest możliwość zwiększenia swoich umiejętności. To doskonały sposób na rozwój zarówno w zakresie wiedzy, jak i umiejętności. Jeśli masz 300 godzin, możesz wykorzystać je do nauki nowych umiejętności, takich jak język obcy, programowanie, tworzenie stron internetowych lub innych umiejętności, które mogą pomóc Ci w osiąganiu Twoich celów.

Więcej  Odkryj prawdę o Numerze Vat: Co To?

Kolejną korzyścią jest możliwość zapewnienia sobie produktywności i efektywności. Posiadanie 300 godzin daje Ci możliwość efektywnego wykorzystania tego czasu, aby osiągnąć swoje cele. Możesz podzielić ten czas na części i wykorzystać go do nauki, pracy nad swoimi projektami lub do zaangażowania się w inne przedsięwzięcia.

Ostatnią korzyścią jest dostęp do większej ilości informacji. Posiadanie 300 godzin daje Ci możliwość lepszego poznania otaczającego Cię świata. Oznacza to, że możesz poświęcić czas na zdobywanie wiedzy i zrozumienie wielu rzeczy, które wcześniej wydawały się niezrozumiałe. To może również pomóc Ci w przyszłości.

Posiadanie 300 godzin to duże wyzwanie, ale również ogromna szansa na rozwój. Możesz wykorzystać ten czas, aby zwiększyć swoje umiejętności, zapewnić sobie produktywność i efektywność oraz zdobyć więcej informacji.

Wniosek

⁠⁠⁠⁠⁠⁠⁠⁠⁠⁠⁠⁠⁠⁠

300 godzin ile to dni to akcja, która ma na celu uchronienie ludzi przed pożarami. Jest to projekt, który ma na celu umożliwienie osób bezdomnym lub bezrobotnym zamieszkać w domach ochronnych.

O autorze tego artykułu

Cześć! Jestem Łukasz Jaworski i piszę artykuły dla strony oszczednoscie.pl. Jako ekspert finansowy moim celem jest pomaganie ludziom w oszczędzaniu i mądrym inwestowaniu swoich pieniędzy.

Wierzę, że wiedza finansowa to klucz do sukcesu w każdej dziedzinie życia. Dlatego w moich artykułach staram się dawać ludziom przydatne wskazówki i strategie, które pomogą im podejmować mądre decyzje finansowe i osiągać swoje cele finansowe.

Jestem bardzo zadowolony, że mogę pracować na stronie poświęconej pieniądzom, inwestycjom i wiedzy finansowej. Daje mi to możliwość dzielenia się moją wiedzą z ludźmi, którzy naprawdę cenią swoje finanse i chcą zrobić coś więcej dla swojej przyszłości. Jestem zawsze gotowy pomóc i odpowiedzieć na wszelkie pytania, jakie mogą pojawić się wśród odwiedzających stronę.

Dodaj komentarz